| Sign In | Join Free | My fazendomedia.com |
|
Brand Name : Anterwell
Model Number : TORX173
Certification : new & original
Place of Origin : original factory
MOQ : 5pcs
Price : Negotiate
Payment Terms : T/T, Western Union, Paypal
Supply Ability : 750
Delivery Time : 1 day
Packaging Details : Please contact me for details
Storage Temperature : −40 to 70°C
Operating Temperature : −20 to 70°C
Supply Voltage : −0.5 to 7V
Low Level Output Current : 20mA
High Level Output Current : -1mA
FIBER OPTIC RECEIVING MODULE TORX173
FOR DIGITAL AUDIO EQUIPMENT

| Characteristics | Symbol | Min. | Typ. | Max. | Unit |
| Supply Voltage | VCC | 4.75 | 5.0 | 5.25 | V |
| High Level Output Current | IOH | ― | ― | −150 | µA |
| Low Level Output Current | IOL | ― | ― | 1.6 | mA |
| Characteristics | Symbol | Test Condition | Min. | Typ. | Max. | Unit |
| Data Rate | NRZ code (Note 1) | DC | ― | 6 | Mb / s | |
| Transmission Distance | TOTX173 Using APF (Note 2) | 0.2 | ― | 10 | m | |
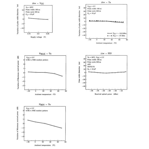
| Pulse Width Distortion (Note 3) | ∆tw | Pulse width 165 ns Pulse cycle 330 ns, CL = 10 pF Using TOTX173 | −20 | ― | 20 | ns |
| Maximum Receivable Power (Note 4) | PMAX | 6 Mb / s, Using APF | −14.5 | ― | ― | dBm |
| Minimum Receivable Power (Note 4) | PMIN | 6 Mb / s, Using APF | ― | ― | −27 | dBm |
| Rise Time | tr | CL = 10 pF | ― | 10 | 30 | ns |
| Fall Time | tf | CL = 10 pF | ― | 5 | 30 | ns |
| Current Consumption | ICC | ― | 22 | 40 | mA | |
| High Level Output Voltage | VOH | 2.7 | ― | ― | V | |
| Low Level Output Voltage | VOL | ― | ― | 0.4 | V |
Note 1: For data rate > 3 Mb / s, the duty factor must be such as kept 25 to 75%. High level output when optical flux is received. Low level output when optical flux is not received.
Note 2: All Plastic Fiber (970 / 1000 µm).
Note 3: Between input of a fiber optic transmitting module and output of TORX173.
Note 4: BER ≤ 10−9 , rated by peak value.
Example of Typical Characteristics (Note 5)

Application Circuit

Applicable optical fiber with fiber optic connectors.
TOCP172−□□B
|
|
FIBER OPTIC RECEIVING MODULE TORX173 (FOR DIGITAL AUDIO EQUIPMENT) Images |